Классы
1 класс
2 класс
3 класс
4 класс
5 класс
6 класс
7 класс
8 класс
9 класс
10 класс
11 класс
Предметы
Алгебра
Английский язык
Белорусский язык
Биология
География
Геометрия
Естествознание
Информатика
Искусство
История
Кубановедение
Литература
Математика
Музыка
Немецкий язык
ОБЖ
Обществознание
Окружающий мир
Основы здоровья
Природоведение
Русский язык
Технология
Украинский язык
Физика
Французский язык
Химия
Человек и мир
Я исследую мир
ГДЗ
5 класс
Математика
рабочая тетрадь Ерина
IV
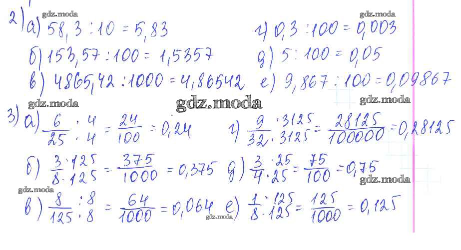
ОТВЕТ на задание № IV Рабочая тетрадь по Математике 5 класс Ерина УМК
Показать содержание
← Предыдущее
Следующее →
Решебник №1
часть 2 / §7.35 / IV
Решебник №2
часть 2 / §7.35 / IV
Показать содержание
← Предыдущее
Следующее →
Все ГДЗ по
Математике 5 класс УМК
ГДЗ решение к заданию № IV Математика 5 класс рабочая тетрадь Универсальные учебные действия Ерина Т.М. (к уч. Виленкина Н.Я.) Экзамен 2016 Часть 1, Часть 2 ФГОС бесплатно на гдз.мода!