ОТВЕТ на задание № 4 Рабочая тетрадь по Математике 5 класс Ерина УМК
Решебник №1
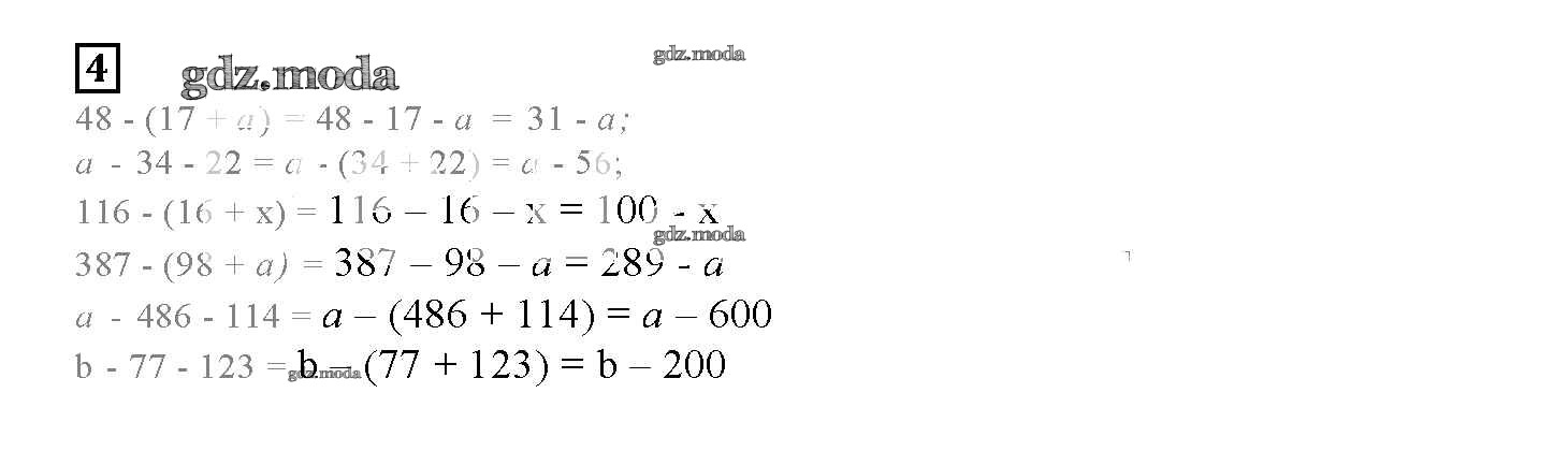
часть 1 / страница 32. §9 / 4
Решебник №2
часть 1 / страница 32. §9 / 4
Все ГДЗ по Математике 5 класс УМК