ОТВЕТ на задание № 8 Рабочая тетрадь по Математике 5 класс Ерина УМК

Решебник №1

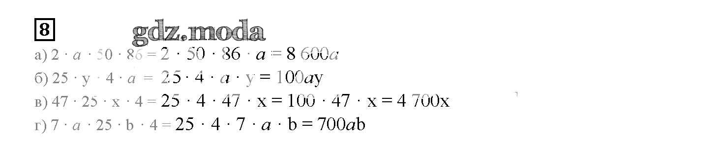
часть 1 / страница 39. §11 / 8

Решебник №2

часть 1 / страница 39. §11 / 8

Все ГДЗ по Математике 5 класс УМК

ГДЗ решение к заданию № 8 Математика 5 класс рабочая тетрадь Ерина Т.М. (к уч. Виленкина) Экзамен 2019 Часть 1, Часть 2 ФГОС бесплатно на гдз.мода!