ОТВЕТ на задание № 1 Рабочая тетрадь по Математике 5 класс Ерина УМК

Решебник №1

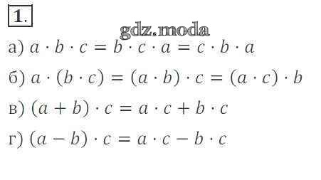
часть 1 / страница 49. §14 / 1

Решебник №2

часть 1 / страница 49. §14 / 1

Все ГДЗ по Математике 5 класс УМК

ГДЗ решение к заданию № 1 Математика 5 класс рабочая тетрадь Ерина Т.М. (к уч. Виленкина) Экзамен 2019 Часть 1, Часть 2 ФГОС бесплатно на гдз.мода!