Классы
1 класс
2 класс
3 класс
4 класс
5 класс
6 класс
7 класс
8 класс
9 класс
10 класс
11 класс
Предметы
Алгебра
Английский язык
Белорусский язык
Биология
География
Геометрия
Естествознание
Информатика
Искусство
История
Кубановедение
Литература
Математика
Музыка
Немецкий язык
ОБЖ
Обществознание
Окружающий мир
Основы здоровья
Природоведение
Русский язык
Технология
Украинский язык
Физика
Французский язык
Химия
Человек и мир
Я исследую мир
ГДЗ
5 класс
Математика
Бунимович
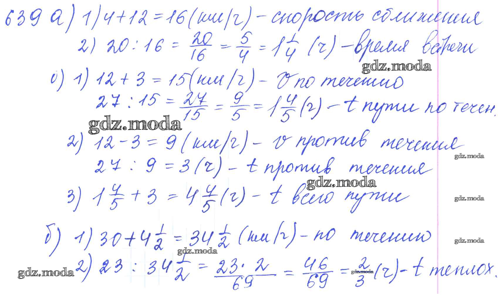
639
ОТВЕТ на задание № 639 Учебник по Математике 5 класс Бунимович Сферы
Показать содержание
← Предыдущее
Следующее →
Решебник 1
упражнение / 639
Решебник 2
упражнение / 639
Решебник 3
упражнение / 639
Показать содержание
← Предыдущее
Следующее →
Все ГДЗ по
Математике 5 класс Сферы
ГДЗ решение к заданию № 639 Математика 5 класс Бунимович Просвещение 2014 ФГОС бесплатно на гдз.мода!