Классы
1 класс
2 класс
3 класс
4 класс
5 класс
6 класс
7 класс
8 класс
9 класс
10 класс
11 класс
Предметы
Алгебра
Английский язык
Белорусский язык
Биология
География
Геометрия
Естествознание
Информатика
Искусство
История
Кубановедение
Литература
Математика
Музыка
Немецкий язык
ОБЖ
Обществознание
Окружающий мир
Основы здоровья
Природоведение
Русский язык
Технология
Украинский язык
Физика
Французский язык
Химия
Человек и мир
Я исследую мир
ГДЗ
5 класс
Математика
учебник Петерсон
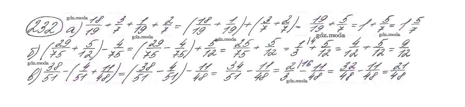
232
ОТВЕТ на задание № 232 Учебник по Математике 5 класс Петерсон
Показать содержание
← Предыдущее
Следующее →
Решебник 1
часть 2. упражнение / 232
Показать содержание
← Предыдущее
Следующее →
ГДЗ решение к заданию № 232 Математика 5 класс Петерсон Л.Г. Ювента 2014 Часть 1, Часть 2 ФГОС бесплатно на гдз.мода!