Классы
1 класс
2 класс
3 класс
4 класс
5 класс
6 класс
7 класс
8 класс
9 класс
10 класс
11 класс
Предметы
Алгебра
Английский язык
Белорусский язык
Биология
География
Геометрия
Естествознание
Информатика
Искусство
История
Кубановедение
Литература
Математика
Музыка
Немецкий язык
ОБЖ
Обществознание
Окружающий мир
Основы здоровья
Природоведение
Русский язык
Технология
Украинский язык
Физика
Французский язык
Химия
Человек и мир
Я исследую мир
ГДЗ
5 класс
Математика
Дорофеев, Шарыгин
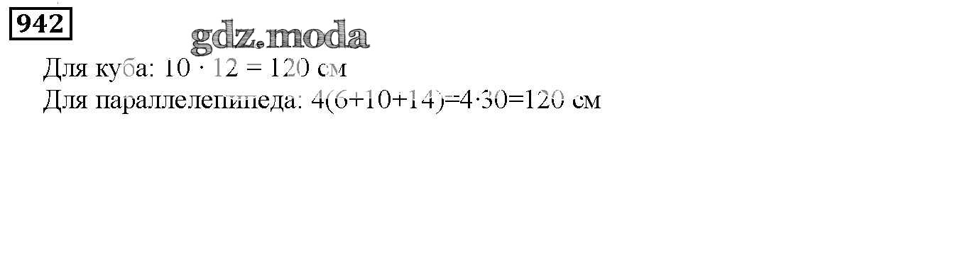
942
ОТВЕТ на задание № 942 Учебник по Математике 5 класс Дорофеев
Показать содержание
← Предыдущее
Следующее →
Решебник 1
глава 10 / 10.2 / 942
Решебник 2
глава 10 / 10.2 / 942
Решебник 3
глава 10 / 10.2 / 942
Показать содержание
← Предыдущее
Следующее →
ГДЗ решение к заданию № 942 Математика 5 класс Дорофеев Г.В. Просвещение 2015 ФГОС бесплатно на гдз.мода!