ОТВЕТ на задание № 320 Учебник по Математике 5 класс Дорофеев

Решебник №1

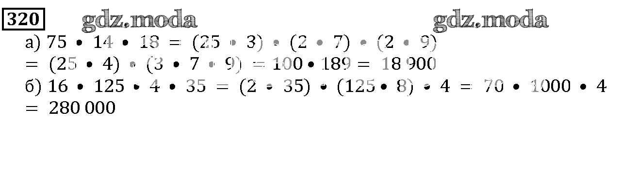
глава 4 / 4.1 / 320

Решебник №2

глава 4 / 4.1 / 320

Решебник №3

глава 4 / 4.1 / 320

Решебник №4

глава 4 / 4.1 / 320

Решебник №5

глава 4 / 4.1 / 320

ГДЗ решение к заданию № 320 Математика 5 класс Дорофеев Г.В. Просвещение 2015 ФГОС бесплатно на гдз.мода!