ОТВЕТ на задание № 613 Учебник по Математике 5 класс Дорофеев

Решебник №1

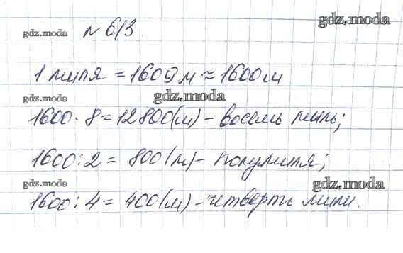
глава 8 / 8.1 / 613

Решебник №2

глава 8 / 8.1 / 613

Решебник №3

глава 8 / 8.1 / 613

Решебник №4

глава 8 / 8.1 / 613

Решебник №5

глава 8 / 8.1 / 613

ГДЗ решение к заданию № 613 Математика 5 класс Дорофеев Г.В. Просвещение 2015 ФГОС бесплатно на гдз.мода!