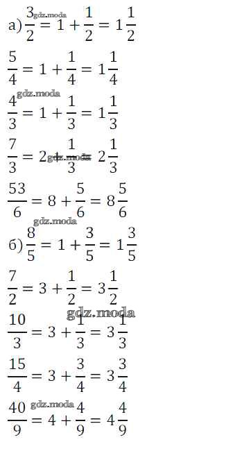
ОТВЕТ на задание № 778 Учебник по Математике 5 класс Дорофеев

Решебник №1

глава 9 / 9.2 / 778

Решебник №2

глава 9 / 9.2 / 778

Решебник №3

глава 9 / 9.2 / 778

Решебник №4

глава 9 / 9.2 / 778

Решебник №5

глава 9 / 9.2 / 778

ГДЗ решение к заданию № 778 Математика 5 класс Дорофеев Г.В. Просвещение 2015 ФГОС бесплатно на гдз.мода!