ОТВЕТ на задание № 780 Учебник по Математике 5 класс Дорофеев

Решебник №1

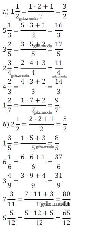
глава 9 / 9.2 / 780

Решебник №2

глава 9 / 9.2 / 780

Решебник №3

глава 9 / 9.2 / 780

Решебник №4

глава 9 / 9.2 / 780

Решебник №5

глава 9 / 9.2 / 780

ГДЗ решение к заданию № 780 Математика 5 класс Дорофеев Г.В. Просвещение 2015 ФГОС бесплатно на гдз.мода!