ОТВЕТ на задание № 879 Учебник по Математике 5 класс Дорофеев

Решебник №1

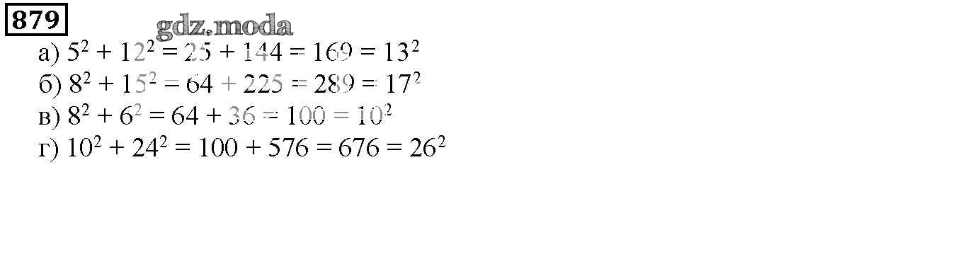
глава 9 / 9.5 / 879

Решебник №2

глава 9 / 9.5 / 879

Решебник №3

глава 9 / 9.5 / 879

Решебник №4

глава 9 / 9.5 / 879

Решебник №5

глава 9 / 9.5 / 879

ГДЗ решение к заданию № 879 Математика 5 класс Дорофеев Г.В. Просвещение 2015 ФГОС бесплатно на гдз.мода!