ОТВЕТ на задание № 79 Учебник по Математике 5 класс Мерзляк Алгоритм успеха

Решебник №1

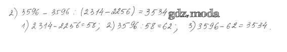
глава 1 / §3 / 79

Решебник №2

глава 1 / §3 / 79

Решебник №3

глава 1 / §3 / 79

Решебник №4

глава 1 / §3 / 79

Решебник №5

глава 1 / §3 / 79

Решебник №6

глава 1 / §3 / 79

Решебник №7

глава 1 / §3 / 79

Решебник №8

глава 1 / §3 / 79

Все ГДЗ по Математике 5 класс Алгоритм успеха

ГДЗ решение к заданию № 79 Математика 5 класс Мерзляк А.Г. Вентана-граф 2016 ФГОС бесплатно на гдз.мода!