ОТВЕТ на задание № 123 Учебник по Математике 5 класс Мерзляк Алгоритм успеха
Решебник 1
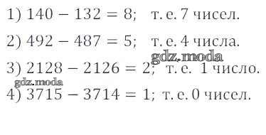
глава 1 / §5 / 123
 
                                Решебник 2
глава 1 / §5 / 123
 
                                Решебник 3
глава 1 / §5 / 123
 
                                Решебник 4
глава 1 / §5 / 123
 
                                Решебник 5
глава 1 / §5 / 123
 
                                Решебник 6
глава 1 / §5 / 123
 
                                Решебник 7
глава 1 / §5 / 123
 
                                Все ГДЗ по Математике 5 класс Алгоритм успеха