ОТВЕТ на задание № 231 Учебник по Математике 5 класс Мерзляк Алгоритм успеха

Решебник №1

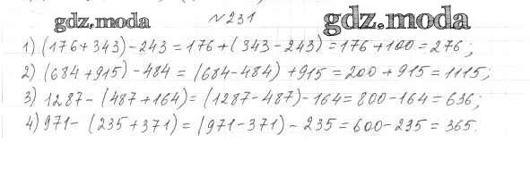
глава 2 / §8 / 231

Решебник №2

глава 2 / §8 / 231

Решебник №3

глава 2 / §8 / 231

Решебник №4

глава 2 / §8 / 231

Решебник №5

глава 2 / §8 / 231

Решебник №6

глава 2 / §8 / 231

Решебник №7

глава 2 / §8 / 231

Решебник №8

глава 2 / §8 / 231

Все ГДЗ по Математике 5 класс Алгоритм успеха

ГДЗ решение к заданию № 231 Математика 5 класс Мерзляк А.Г. Вентана-граф 2016 ФГОС бесплатно на гдз.мода!