ОТВЕТ на задание № 233 Учебник по Математике 5 класс Мерзляк Алгоритм успеха

Решебник №1

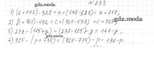
глава 2 / §8 / 233

Решебник №2

глава 2 / §8 / 233

Решебник №3

глава 2 / §8 / 233

Решебник №4

глава 2 / §8 / 233

Решебник №5

глава 2 / §8 / 233

Решебник №6

глава 2 / §8 / 233

Решебник №7

глава 2 / §8 / 233

Решебник №8

глава 2 / §8 / 233

Все ГДЗ по Математике 5 класс Алгоритм успеха

ГДЗ решение к заданию № 233 Математика 5 класс Мерзляк А.Г. Вентана-граф 2016 ФГОС бесплатно на гдз.мода!