ОТВЕТ на задание № 423 Учебник по Математике 5 класс Мерзляк Алгоритм успеха

Решебник №1

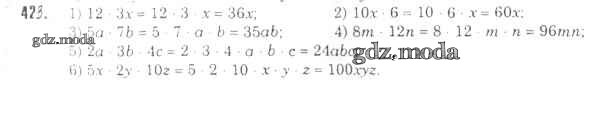
глава 3 / §17 / 423

Решебник №2

глава 3 / §17 / 423

Решебник №3

глава 3 / §17 / 423

Решебник №4

глава 3 / §17 / 423

Решебник №5

глава 3 / §17 / 423

Решебник №6

глава 3 / §17 / 423

Решебник №7

глава 3 / §17 / 423

Решебник №8

глава 3 / §17 / 423

Все ГДЗ по Математике 5 класс Алгоритм успеха

ГДЗ решение к заданию № 423 Математика 5 класс Мерзляк А.Г. Вентана-граф 2016 ФГОС бесплатно на гдз.мода!