ОТВЕТ на задание № 436 Учебник по Математике 5 класс Мерзляк Алгоритм успеха

Решебник №1

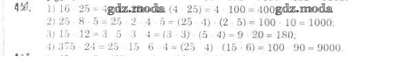
глава 3 / §17 / 436

Решебник №2

глава 3 / §17 / 436

Решебник №3

глава 3 / §17 / 436

Решебник №4

глава 3 / §17 / 436

Решебник №5

глава 3 / §17 / 436

Решебник №6

глава 3 / §17 / 436

Решебник №7

глава 3 / §17 / 436

Решебник №8

глава 3 / §17 / 436

Все ГДЗ по Математике 5 класс Алгоритм успеха

ГДЗ решение к заданию № 436 Математика 5 класс Мерзляк А.Г. Вентана-граф 2016 ФГОС бесплатно на гдз.мода!