ОТВЕТ на задание № 533 Учебник по Математике 5 класс Мерзляк Алгоритм успеха

Решебник №1

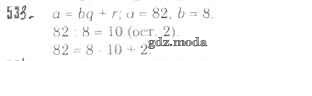
глава 3 / §19 / 533

Решебник №2

глава 3 / §19 / 533

Решебник №3

глава 3 / §19 / 533

Решебник №4

глава 3 / §19 / 533

Решебник №5

глава 3 / §19 / 533

Решебник №6

глава 3 / §19 / 533

Решебник №7

глава 3 / §19 / 533

Решебник №8

глава 3 / §19 / 533

Все ГДЗ по Математике 5 класс Алгоритм успеха

ГДЗ решение к заданию № 533 Математика 5 класс Мерзляк А.Г. Вентана-граф 2016 ФГОС бесплатно на гдз.мода!