ОТВЕТ на задание № 579 Учебник по Математике 5 класс Мерзляк Алгоритм успеха
Решебник 1
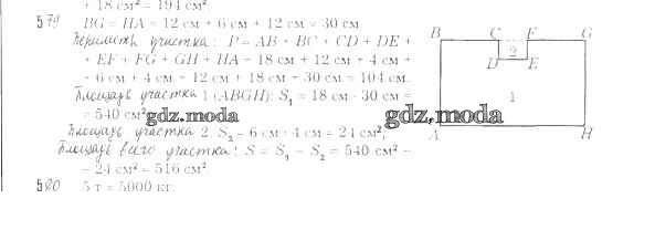
глава 3 / §21 / 579
 
                                Решебник 2
глава 3 / §21 / 579
 
                                Решебник 3
глава 3 / §21 / 579
 
                                 
                                Решебник 4
глава 3 / §21 / 579
 
                                Решебник 5
глава 3 / §21 / 579
 
                                 
                                 
                                 
                                Решебник 6
глава 3 / §21 / 579
 
                                Решебник 7
глава 3 / §21 / 579
 
                                Все ГДЗ по Математике 5 класс Алгоритм успеха