ОТВЕТ на задание № 764 Учебник по Математике 5 класс Мерзляк Алгоритм успеха

Решебник №1

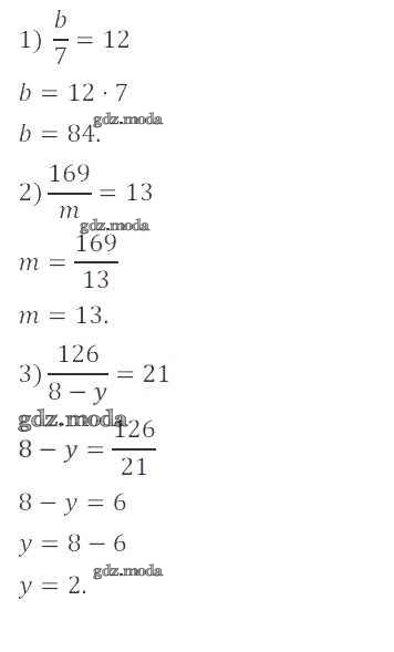
глава 4 / §28 / 764

Решебник №2

глава 4 / §28 / 764

Решебник №3

глава 4 / §28 / 764

Решебник №4

глава 4 / §28 / 764

Решебник №5

глава 4 / §28 / 764

Решебник №6

глава 4 / §28 / 764

Решебник №8

глава 4 / §28 / 764

Все ГДЗ по Математике 5 класс Алгоритм успеха

ГДЗ решение к заданию № 764 Математика 5 класс Мерзляк А.Г. Вентана-граф 2016 ФГОС бесплатно на гдз.мода!