ОТВЕТ на задание № 777 Учебник по Математике 5 класс Мерзляк Алгоритм успеха
Решебник 1
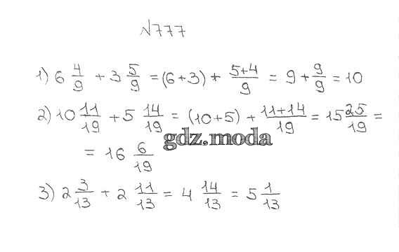
глава 4 / §29 / 777
 
                                Решебник 2
глава 4 / §29 / 777
 
                                Решебник 3
глава 4 / §29 / 777
 
                                 
                                Решебник 4
глава 4 / §29 / 777
 
                                 
                                Решебник 5
глава 4 / §29 / 777
 
                                 
                                 
                                 
                                 
                                 
                                Решебник 6
глава 4 / §29 / 777
 
                                Все ГДЗ по Математике 5 класс Алгоритм успеха