ОТВЕТ на задание № 845 Учебник по Математике 5 класс Мерзляк Алгоритм успеха

Решебник №1

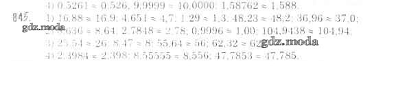
глава 5 / §32 / 845

Решебник №2

глава 5 / §32 / 845

Решебник №3

глава 5 / §32 / 845

Решебник №4

глава 5 / §32 / 845

Решебник №5

глава 5 / §32 / 845

Решебник №6

глава 5 / §32 / 845

Решебник №8

глава 5 / §32 / 845

Все ГДЗ по Математике 5 класс Алгоритм успеха

ГДЗ решение к заданию № 845 Математика 5 класс Мерзляк А.Г. Вентана-граф 2016 ФГОС бесплатно на гдз.мода!