ОТВЕТ на задание № 893 Учебник по Математике 5 класс Мерзляк Алгоритм успеха

Решебник №1

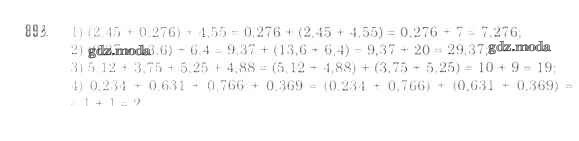
глава 5 / §33 / 893

Решебник №2

глава 5 / §33 / 893

Решебник №3

глава 5 / §33 / 893

Решебник №4

глава 5 / §33 / 893

Решебник №5

глава 5 / §33 / 893

Решебник №6

глава 5 / §33 / 893

Решебник №8

глава 5 / §33 / 893

Все ГДЗ по Математике 5 класс Алгоритм успеха

ГДЗ решение к заданию № 893 Математика 5 класс Мерзляк А.Г. Вентана-граф 2016 ФГОС бесплатно на гдз.мода!