ОТВЕТ на задание № 901 Учебник по Математике 5 класс Мерзляк Алгоритм успеха

Решебник №1

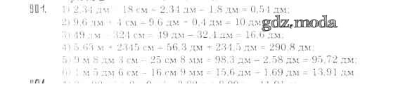
глава 5 / §33 / 901

Решебник №2

глава 5 / §33 / 901

Решебник №3

глава 5 / §33 / 901

Решебник №4

глава 5 / §33 / 901

Решебник №5

глава 5 / §33 / 901

Решебник №6

глава 5 / §33 / 901

Решебник №8

глава 5 / §33 / 901

Все ГДЗ по Математике 5 класс Алгоритм успеха

ГДЗ решение к заданию № 901 Математика 5 класс Мерзляк А.Г. Вентана-граф 2016 ФГОС бесплатно на гдз.мода!