ОТВЕТ на задание № 1200 Учебник по Математике 5 класс Мерзляк Алгоритм успеха
Решебник 1
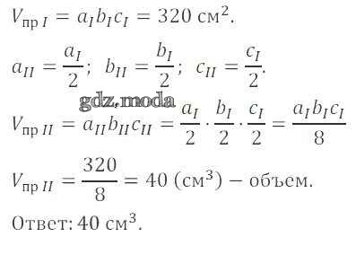
повторение / 1200
 
                                Решебник 2
повторение / 1200
 
                                Решебник 3
повторение / 1200
 
                                Решебник 5
повторение / 1200
 
                                Решебник 6
повторение / 1200
 
                                Все ГДЗ по Математике 5 класс Алгоритм успеха