ОТВЕТ на задание № 943 Учебник по Математике 5 класс Мерзляк Алгоритм успеха

Решебник №1

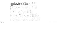
глава 5 / §34 / 943

Решебник №2

глава 5 / §34 / 943

Решебник №3

глава 5 / §34 / 943

Решебник №4

глава 5 / §34 / 943

Решебник №5

глава 5 / §34 / 943

Решебник №6

глава 5 / §34 / 943

Решебник №8

глава 5 / §34 / 943

Все ГДЗ по Математике 5 класс Алгоритм успеха

ГДЗ решение к заданию № 943 Математика 5 класс Мерзляк А.Г. Вентана-граф 2016 ФГОС бесплатно на гдз.мода!