ОТВЕТ на задание № 998 Учебник по Математике 5 класс Мерзляк Алгоритм успеха
Решебник 1
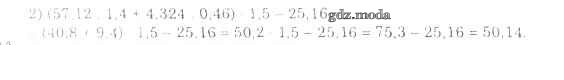
глава 5 / §35 / 998
 
                                Решебник 2
глава 5 / §35 / 998
 
                                Решебник 3
глава 5 / §35 / 998
 
                                 
                                Решебник 4
глава 5 / §35 / 998
 
                                 
                                Решебник 5
глава 5 / §35 / 998
 
                                 
                                 
                                 
                                Решебник 6
глава 5 / §35 / 998
 
                                Все ГДЗ по Математике 5 класс Алгоритм успеха