ОТВЕТ на задание № 1002 Учебник по Математике 5 класс Никольский МГУ - школе
Решебник 1
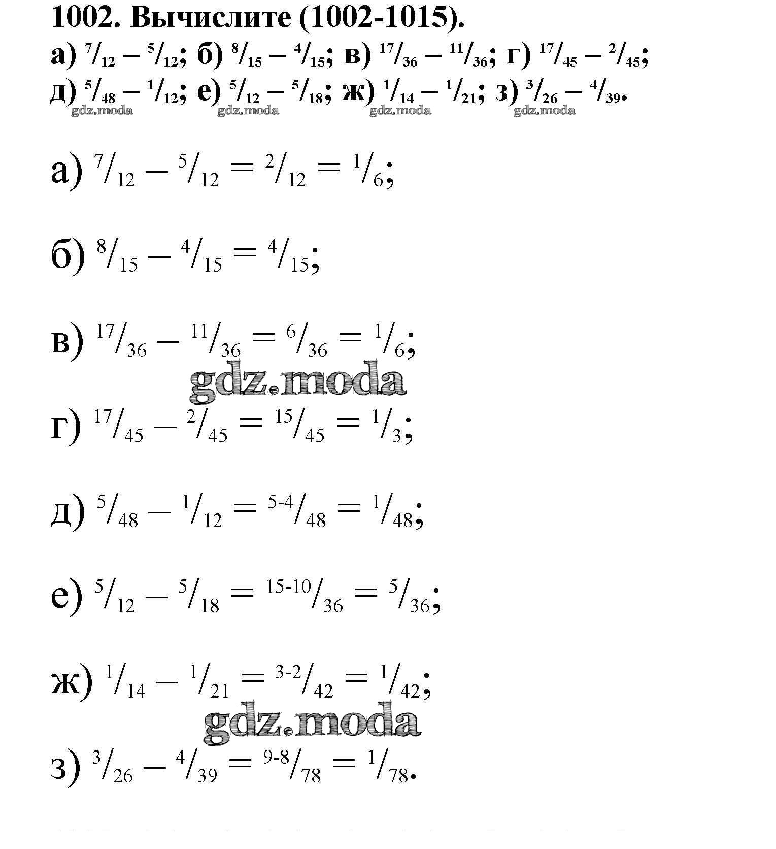
упражнение / 1002

Решебник 2
упражнение / 1002

Решебник 3
упражнение / 1002

Решебник 4
упражнение / 1002

Решебник 5 (2012)
упражнение / 1002

Все ГДЗ по Математике 5 класс МГУ - школе