ОТВЕТ на задание № 1025 Учебник по Математике 5 класс Никольский МГУ - школе
Решебник 1
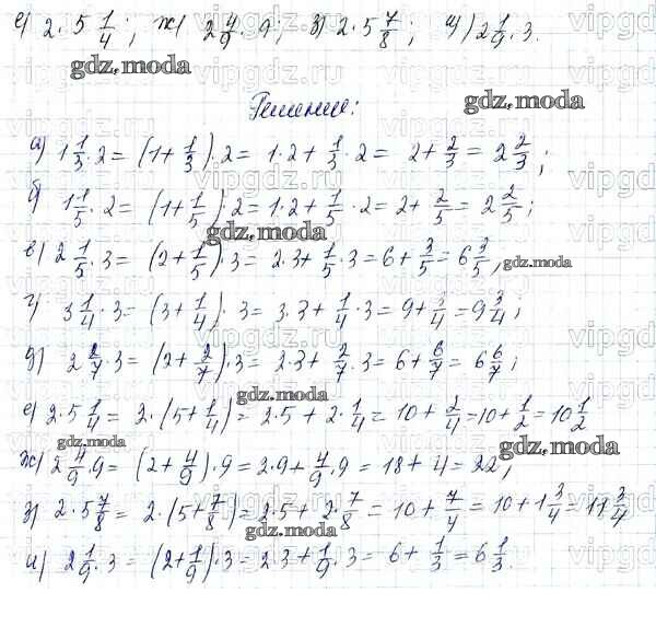
упражнение / 1025


Решебник 3
упражнение / 1025

Решебник 4
упражнение / 1025

Решебник 5 (2012)
упражнение / 1025

Все ГДЗ по Математике 5 класс МГУ - школе