ОТВЕТ на задание № 272 Учебник по Математике 5 класс Никольский МГУ - школе
Решебник 1
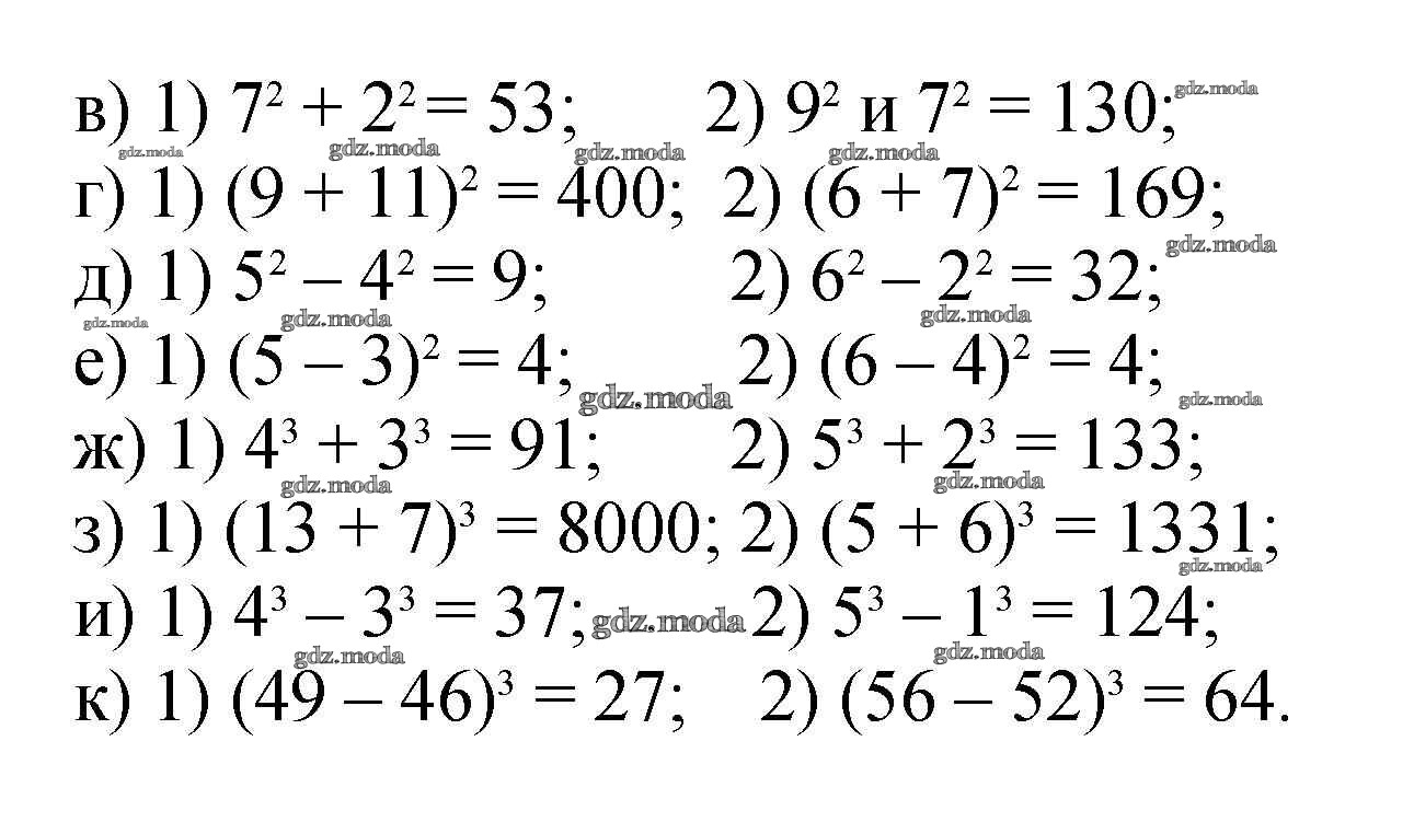
упражнение / 272

Решебник 2
упражнение / 272


Решебник 3
упражнение / 272

Решебник 4
упражнение / 272

Решебник 5 (2012)
упражнение / 272

Все ГДЗ по Математике 5 класс МГУ - школе