ОТВЕТ на задание № 513 Учебник по Математике 5 класс Никольский МГУ - школе
Решебник 1
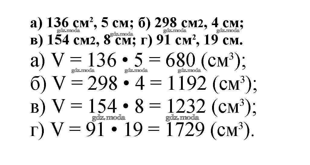
упражнение / 513


Решебник 2
упражнение / 513


Решебник 3
упражнение / 513

Решебник 4
упражнение / 513

Решебник 5 (2012)
упражнение / 513




Все ГДЗ по Математике 5 класс МГУ - школе