ОТВЕТ на задание № 647 Учебник по Математике 5 класс Никольский МГУ - школе
Решебник 1
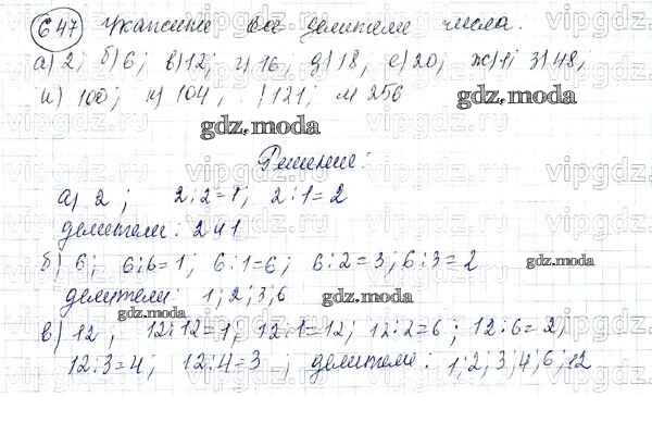
упражнение / 647


Решебник 2
упражнение / 647



Решебник 3
упражнение / 647

Решебник 4
упражнение / 647

Решебник 5 (2012)
упражнение / 647

Все ГДЗ по Математике 5 класс МГУ - школе