ОТВЕТ на задание № 770 Учебник по Математике 5 класс Никольский МГУ - школе
Решебник 1
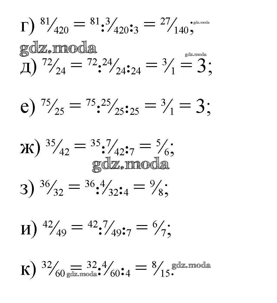
упражнение / 770


Решебник 2
упражнение / 770


Решебник 3
упражнение / 770

Решебник 4
упражнение / 770

Решебник 5 (2012)
упражнение / 770

Все ГДЗ по Математике 5 класс МГУ - школе