ОТВЕТ на задание № 775 Учебник по Математике 5 класс Никольский МГУ - школе
Решебник 1
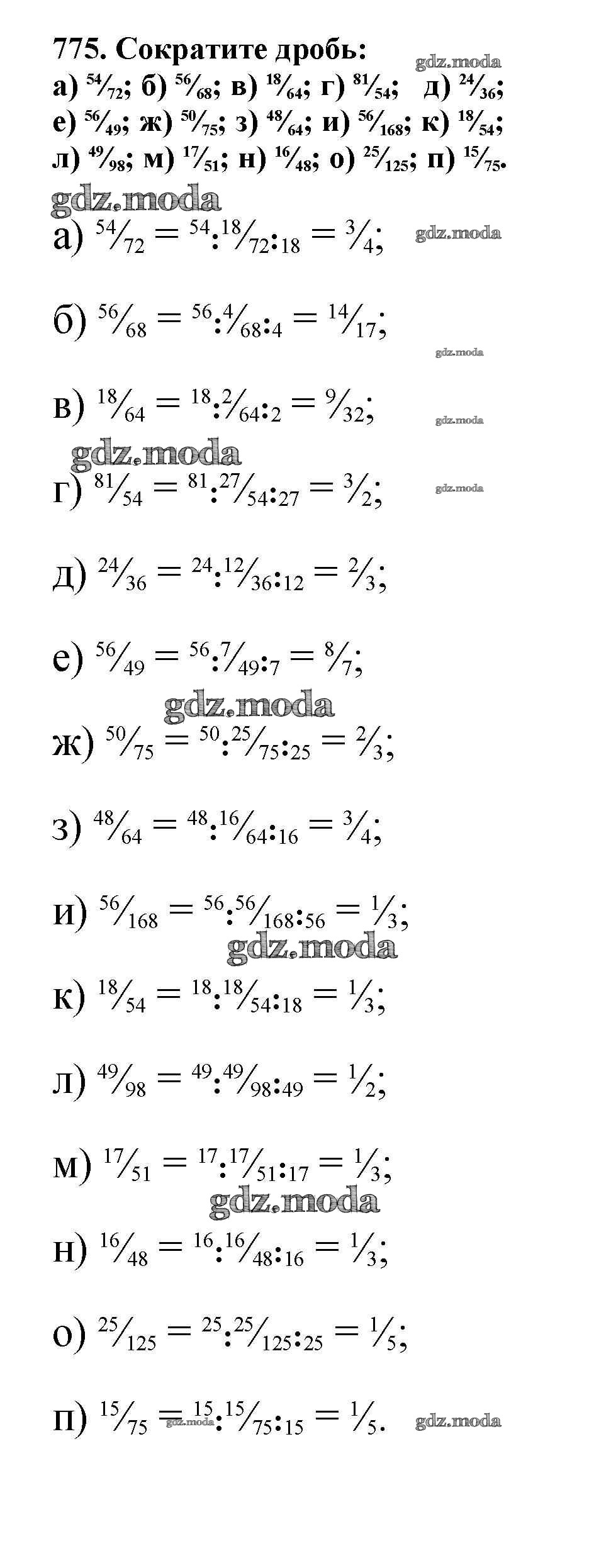
упражнение / 775

Решебник 2
упражнение / 775

Решебник 3
упражнение / 775

Решебник 4
упражнение / 775

Решебник 5 (2012)
упражнение / 775

Все ГДЗ по Математике 5 класс МГУ - школе