ОТВЕТ на задание № 798 Учебник по Математике 5 класс Никольский МГУ - школе
Решебник 1
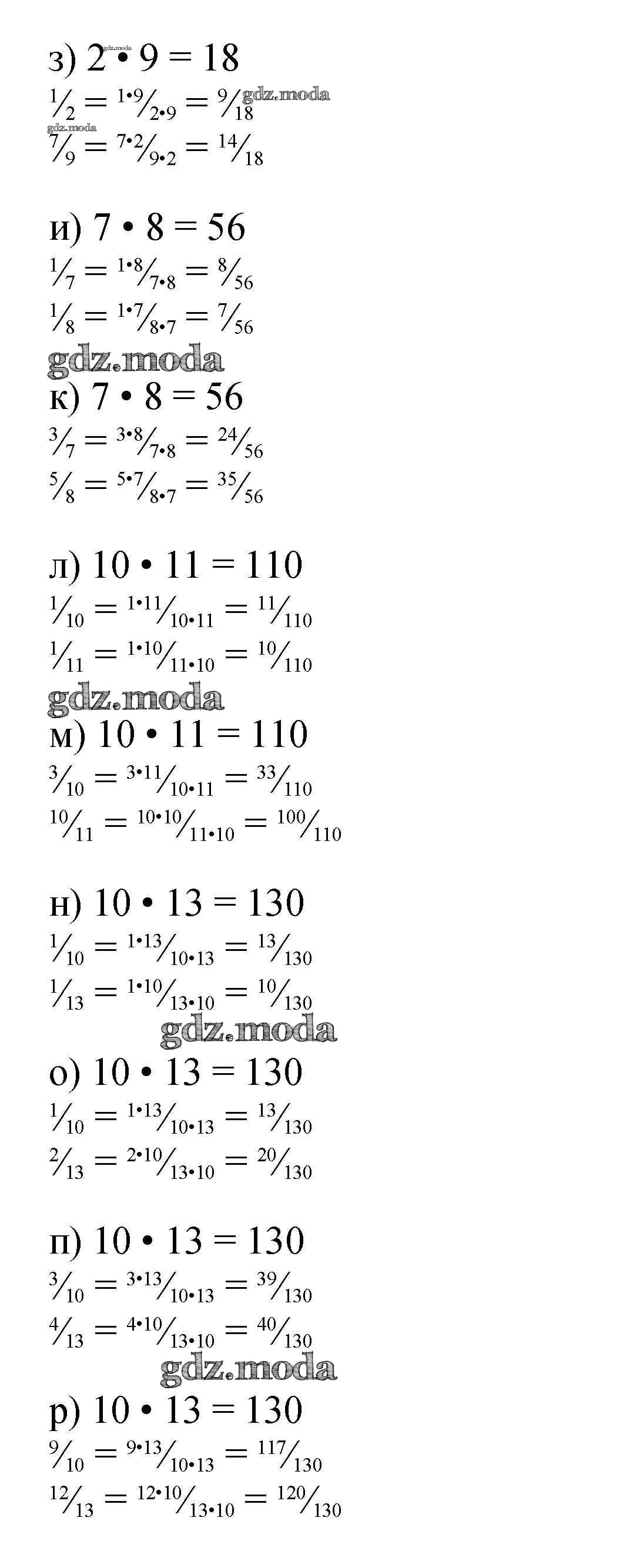
упражнение / 798



Решебник 2
упражнение / 798


Решебник 3
упражнение / 798

Решебник 4
упражнение / 798

Решебник 5 (2012)
упражнение / 798

Все ГДЗ по Математике 5 класс МГУ - школе