ОТВЕТ на задание № 800 Учебник по Математике 5 класс Никольский МГУ - школе
Решебник 1
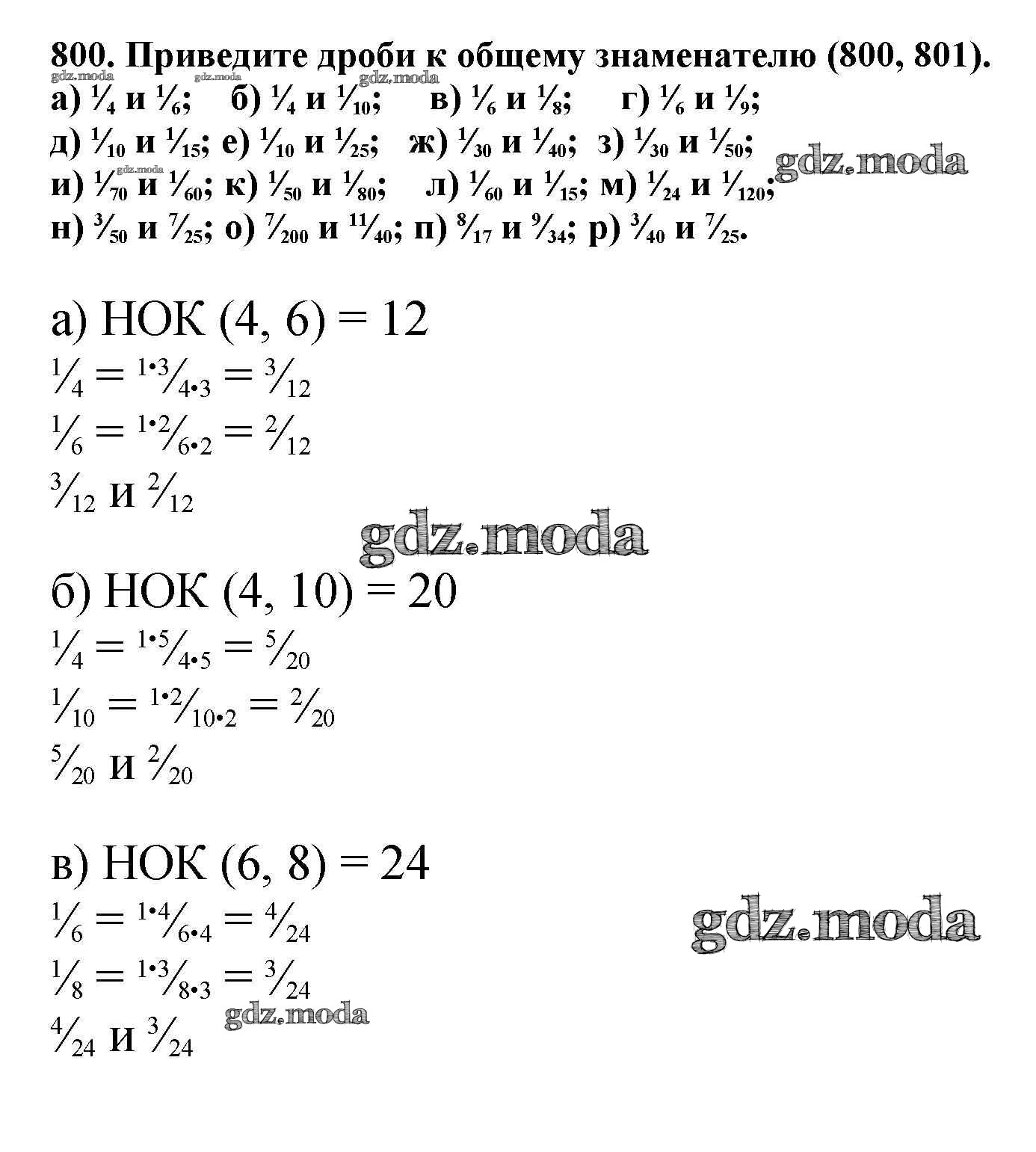
упражнение / 800


Решебник 2
упражнение / 800



Решебник 3
упражнение / 800

Решебник 4
упражнение / 800

Решебник 5 (2012)
упражнение / 800

Все ГДЗ по Математике 5 класс МГУ - школе