ОТВЕТ на задание № 853 Учебник по Математике 5 класс Никольский МГУ - школе
Решебник 1
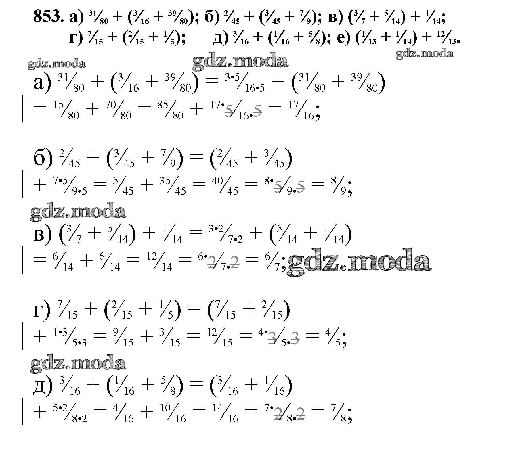
упражнение / 853

Решебник 2
упражнение / 853


Решебник 3
упражнение / 853

Решебник 4
упражнение / 853

Решебник 5 (2012)
упражнение / 853

Все ГДЗ по Математике 5 класс МГУ - школе