ОТВЕТ на задание № 996 Учебник по Математике 5 класс Никольский МГУ - школе
Решебник 1
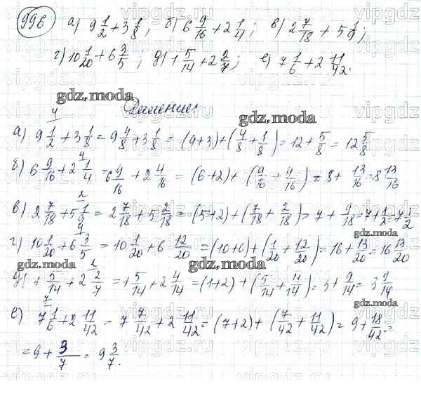
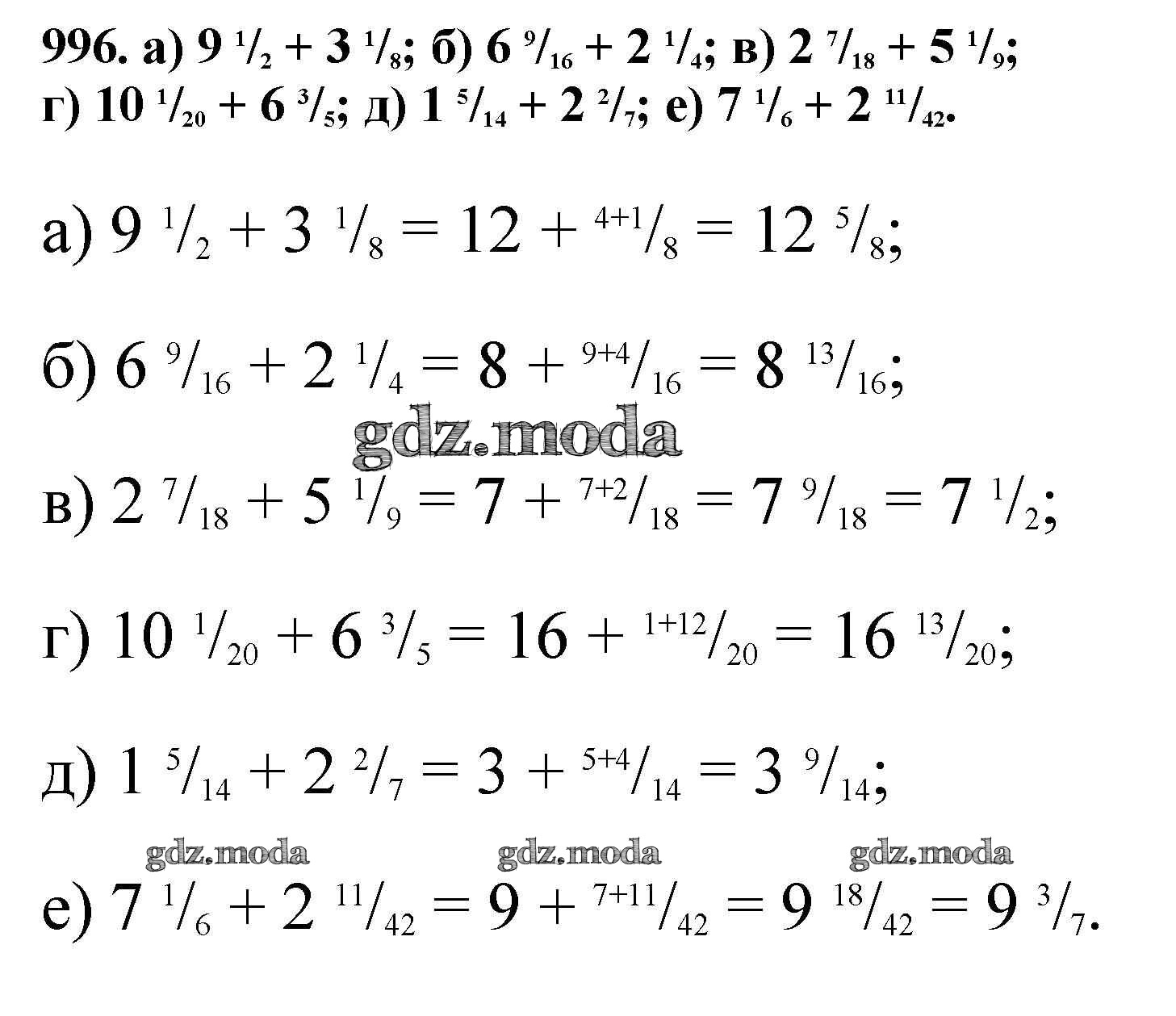
упражнение / 996

Решебник 2
упражнение / 996

Решебник 3
упражнение / 996

Решебник 4
упражнение / 996

Решебник 5 (2012)
упражнение / 996

Все ГДЗ по Математике 5 класс МГУ - школе