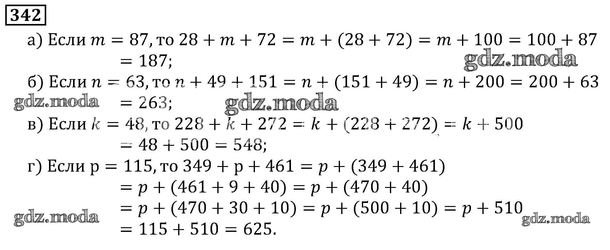
ОТВЕТ на задание № 342 Учебник по Математике 5 класс Виленкин
Решебник №1
глава 1 / 342

Решебник №2
глава 1 / 342

Решебник №3
глава 1 / 342


Решебник №4
глава 1 / 342


Решебник №5
глава 1 / 342

Решебник №6
глава 1 / 342

Решебник №7
глава 1 / 342

Решебник №8
глава 1 / 342
