ОТВЕТ на задание № 363 Учебник по Математике 5 класс Виленкин
Решебник №1
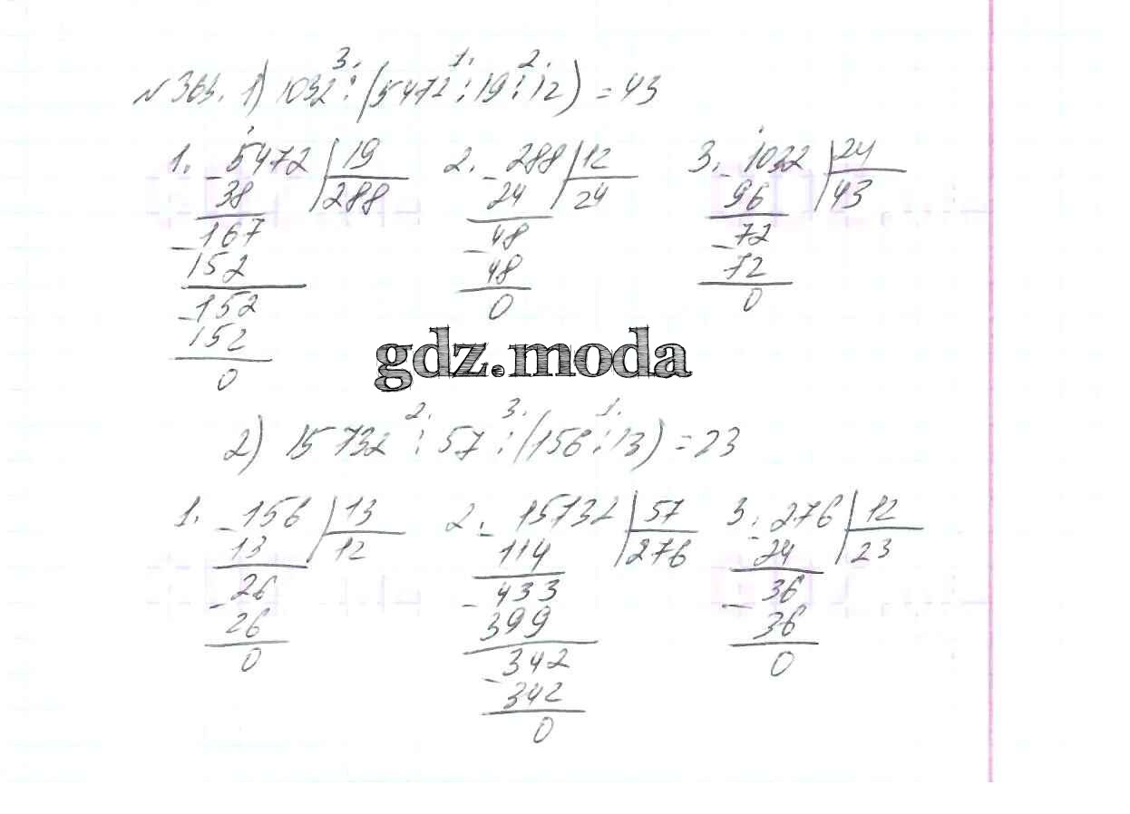
глава 1 / 363

Решебник №2
глава 1 / 363

Решебник №3
глава 1 / 363

Решебник №4
глава 1 / 363

Решебник №5
глава 1 / 363

Решебник №6
глава 1 / 363

Решебник №7
глава 1 / 363

Решебник №8
глава 1 / 363
