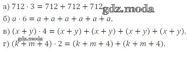
ОТВЕТ на задание № 405 Учебник по Математике 5 класс Виленкин

Решебник №1

глава 1 / 405

Решебник №2

глава 1 / 405

Решебник №3

глава 1 / 405

Решебник №4

глава 1 / 405

Решебник №5

глава 1 / 405

Решебник №6

глава 1 / 405

Решебник №7

глава 1 / 405

Решебник №8

глава 1 / 405

ГДЗ решение к заданию № 405 Математика 5 класс Виленкин Н.Я. Мнемозина 2013 ФГОС бесплатно на гдз.мода!