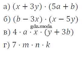
ОТВЕТ на задание № 501 Учебник по Математике 5 класс Виленкин

Решебник №1

глава 1 / 501

Решебник №2

глава 1 / 501

Решебник №4

глава 1 / 501

Решебник №6

глава 1 / 501

Решебник №7

глава 1 / 501

Решебник №8

глава 1 / 501

ГДЗ решение к заданию № 501 Математика 5 класс Виленкин Н.Я. Мнемозина 2013 ФГОС бесплатно на гдз.мода!