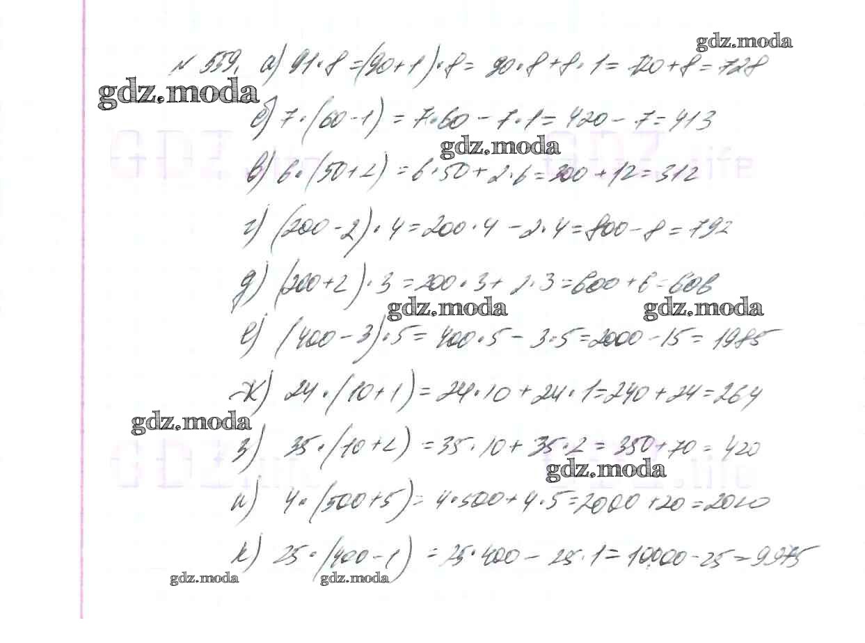
ОТВЕТ на задание № 559 Учебник по Математике 5 класс Виленкин

Решебник №1

глава 1 / 559

Решебник №2

глава 1 / 559

Решебник №3

глава 1 / 559

Решебник №4

глава 1 / 559

Решебник №6

глава 1 / 559

Решебник №7

глава 1 / 559

Решебник №8

глава 1 / 559

ГДЗ решение к заданию № 559 Математика 5 класс Виленкин Н.Я. Мнемозина 2013 ФГОС бесплатно на гдз.мода!