ОТВЕТ на задание № 796 Учебник по Математике 5 класс Виленкин

Решебник №1

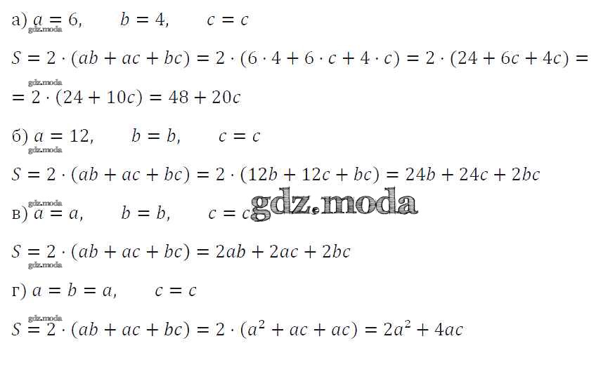
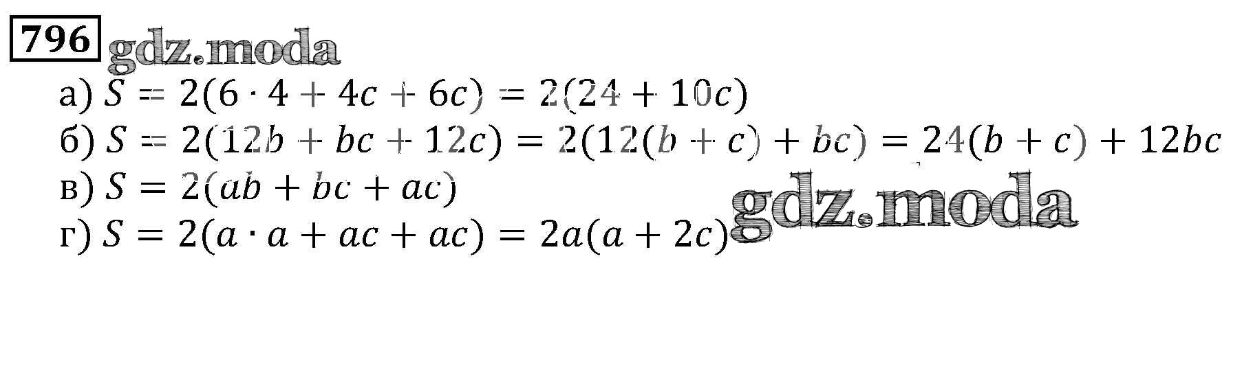
глава 1 / 796

Решебник №2

глава 1 / 796

Решебник №3

глава 1 / 796

Решебник №4

глава 1 / 796

Решебник №6

глава 1 / 796

Решебник №7

глава 1 / 796

Решебник №8

глава 1 / 796

ГДЗ решение к заданию № 796 Математика 5 класс Виленкин Н.Я. Мнемозина 2013 ФГОС бесплатно на гдз.мода!