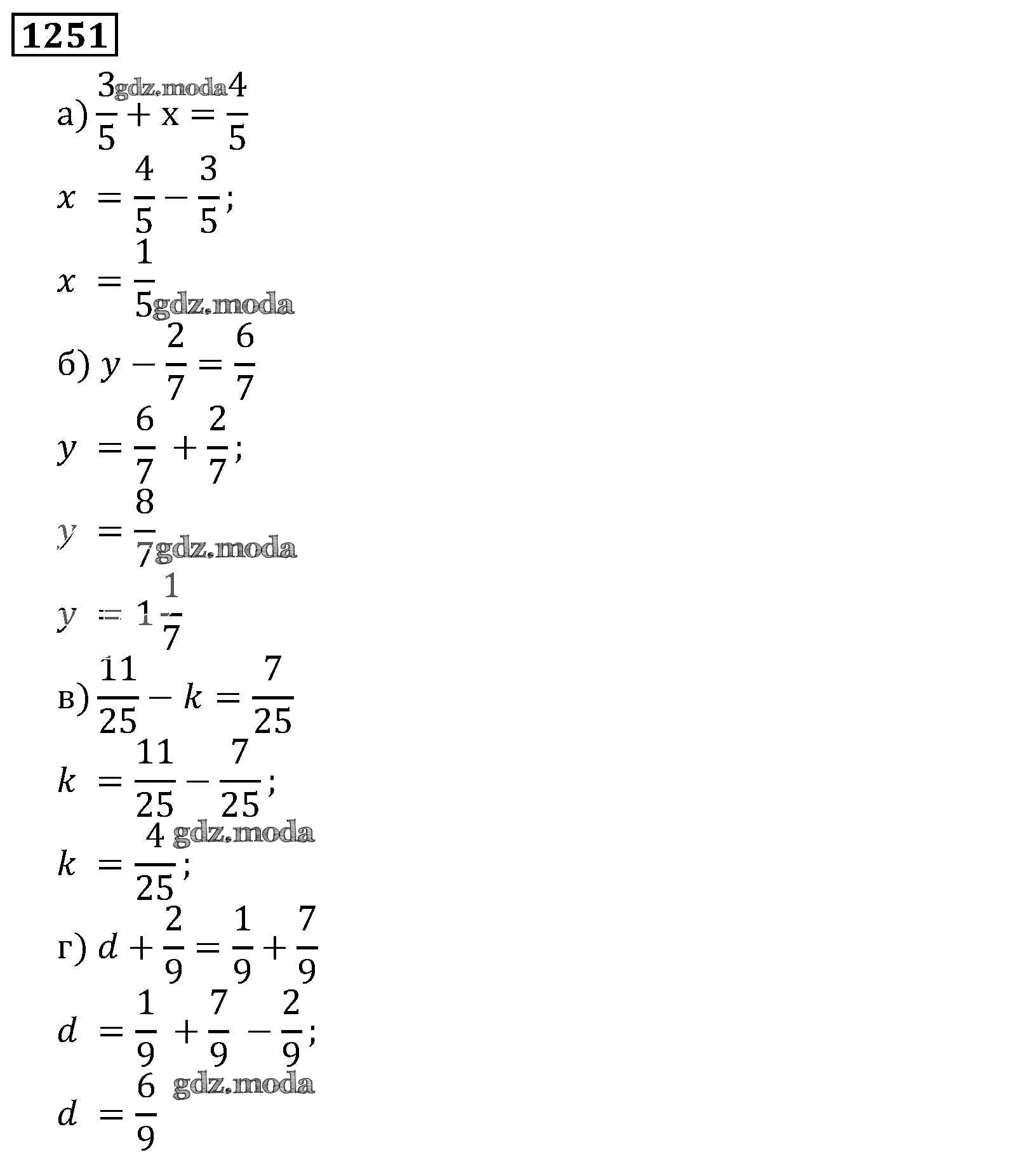
ОТВЕТ на задание № 1251 Учебник по Математике 5 класс Виленкин

Решебник №1

глава 2 / 1251

Решебник №2

глава 2 / 1251

Решебник №3

глава 2 / 1251

Решебник №4

глава 2 / 1251

Решебник №6

глава 2 / 1251

Решебник №8

глава 2 / 1251

ГДЗ решение к заданию № 1251 Математика 5 класс Виленкин Н.Я. Мнемозина 2013 ФГОС бесплатно на гдз.мода!