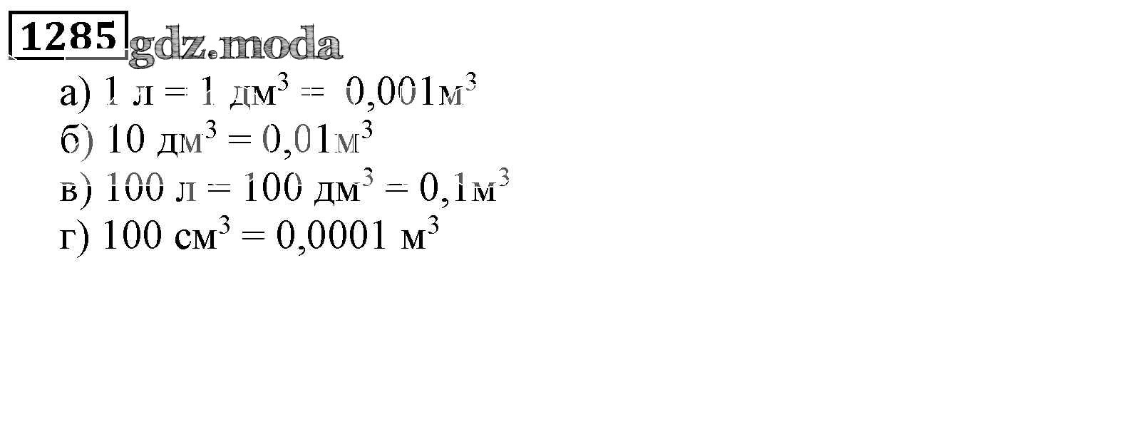
ОТВЕТ на задание № 1285 Учебник по Математике 5 класс Виленкин

Решебник №1

глава 2 / 1285

Решебник №2

глава 2 / 1285

Решебник №4

глава 2 / 1285

Решебник №6

глава 2 / 1285

Решебник №8

глава 2 / 1285

ГДЗ решение к заданию № 1285 Математика 5 класс Виленкин Н.Я. Мнемозина 2013 ФГОС бесплатно на гдз.мода!