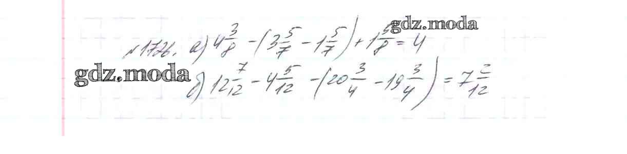
ОТВЕТ на задание № 1726 Учебник по Математике 5 класс Виленкин

Решебник №1

глава 2 / 1726

Решебник №2

глава 2 / 1726

Решебник №4

глава 2 / 1726

Решебник №6

глава 2 / 1726

Решебник №8

глава 2 / 1726

ГДЗ решение к заданию № 1726 Математика 5 класс Виленкин Н.Я. Мнемозина 2013 ФГОС бесплатно на гдз.мода!