ОТВЕТ на задание № 924 Учебник по Математике 5 класс Виленкин

Решебник №1

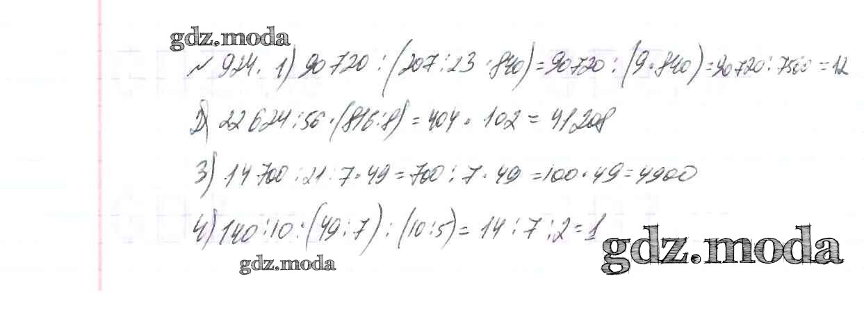
глава 2 / 924

Решебник №2

глава 2 / 924

Решебник №3

глава 2 / 924

Решебник №4

глава 2 / 924

Решебник №6

глава 2 / 924

Решебник №7

глава 2 / 924

Решебник №8

глава 2 / 924

ГДЗ решение к заданию № 924 Математика 5 класс Виленкин Н.Я. Мнемозина 2013 ФГОС бесплатно на гдз.мода!