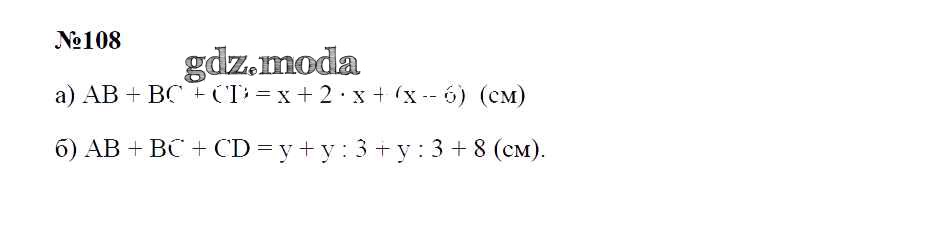
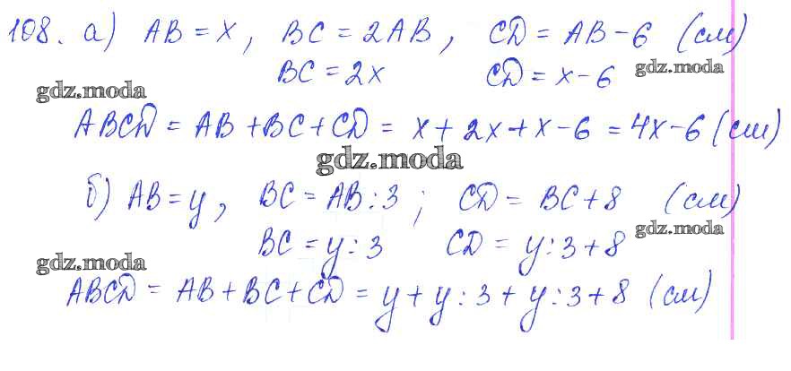
ОТВЕТ на задание № 108 Учебник по Математике 5 класс Зубарева

Решебник 1

упражнение / 108

Решебник 2

упражнение / 108

Решебник 4

упражнение / 108

Решебник 5

упражнение / 108

ГДЗ решение к заданию № 108 Математика 5 класс Зубарева И.И. Мнемозина 2015 ФГОС бесплатно на гдз.мода!